Writing matrices in LaTeX can feel confusing at first, especially if you’re new to typesetting mathematical content. However, once you understand a few basic environments and formatting rules, you can create clean and professional-looking matrices with ease. In this guide, you’ll learn how to write matrices in LaTeX, the different matrix environments, and some practical examples used in engineering, mathematics, and research papers.
If you are new to LaTeX, you can also check my guide on LaTeX Math Commands for understanding basic mathematical formatting before diving into matrices.
I struggled with matrices in LaTeX at first, but after experimenting with these environments, the process became much smoother. That’s why I created this guide to help beginners get comfortable quickly.
Why LaTeX for Matrices?
LaTeX is the standard for academic writing because it produces high-quality mathematical expressions. Moreover, complex structures like matrices, determinants, and arrays look much more readable in LaTeX compared to regular word processors. Additionally, LaTeX allows you to customize brackets, spacing, alignment, and more with precision.
To explore LaTeX features further, you can also refer to trusted sources such as the official Overleaf documentation.
1. The Basic Matrix Environment in LaTeX
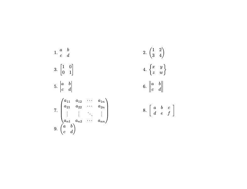
The simplest way to write a matrix is using the matrix environment inside math mode:
\[
\begin{matrix}
a & b \\
c & d
\end{matrix}
\]
However, this form has no brackets. Therefore, if you need brackets (which you usually do), LaTeX provides several variants.
2. Matrix With Parentheses: pmatrix
The most commonly used form of matrix uses parentheses:
\[
\begin{pmatrix}
1 & 2 \\
3 & 4
\end{pmatrix}
\]
The p in pmatrix stands for parentheses.
3. Matrix With Square Brackets: bmatrix
If you prefer square brackets, use:
\[
\begin{bmatrix}
1 & 0 \\
0 & 1
\end{bmatrix}
\]
This is very common in computer science and engineering documentation.
4. Matrix With Curly Braces: Bmatrix
For curly braces:
\[
\begin{Bmatrix}
x & y \\
z & w
\end{Bmatrix}
\]
Though less common, it’s useful when visually grouping sets of equations.
5. Determinants With vmatrix and Vmatrix
To express determinants using single or double vertical bars:
\[
\begin{vmatrix}
a & b \\
c & d
\end{vmatrix}
\]
or
\[
\begin{Vmatrix}
a & b \\
c & d
\end{Vmatrix}
\]
This is frequently used in linear algebra and physics.
6. Writing Large Matrices
Sometimes your matrix has many rows and columns. In that case, spacing and readability matter even more:
\[
\begin{pmatrix}
a_{11} & a_{12} & \cdots & a_{1n} \\
a_{21} & a_{22} & \cdots & a_{2n} \\
\vdots & \vdots & \ddots & \vdots \\
a_{n1} & a_{n2} & \cdots & a_{nn}
\end{pmatrix}
\]
Here:
\cdots= horizontal dots\vdots= vertical dots\ddots= diagonal dots
These commands help maintain symmetry and clarity.
7. Adding Alignment and Spacing (Using array)
Although matrix environments are usually enough, sometimes you need more control. In that case, use the array environment:
\[
\left[
\begin{array}{ccc}
a & b & c \\
d & e & f
\end{array}
\right]
\]
The ccc means three centered columns, but you can change alignment using:
l= left-alignedc= centeredr= right-aligned
Therefore, lcr would give three columns with different alignments.
8. Inline Matrix (for short expressions)
You can even place small matrices inside a sentence:
\(\begin{pmatrix} a & b \\ c & d \end{pmatrix}\)
Although simple, it keeps small matrices compact within text.

9. Common Mistakes Students Make (and How to Avoid Them)
Mistake 1: Forgetting math mode
Always wrap matrices inside:
\[ ... \]\( ... \)$$ ... $$- or inside an equation environment.
Mistake 2: Mixing \\ and & incorrectly
Remember:
- Use
&to separate columns - Use
\\to separate rows
Mistake 3: Missing \usepackage{amsmath}
You must include the package:
\usepackage{amsmath}
Most matrix environments require it.
10. When to Use Which Matrix Environment (Quick Guide)
| Purpose | Environment |
|---|---|
| Standard matrix | pmatrix |
| Identity & numerical matrices | bmatrix |
| Determinants | vmatrix |
| Big, structured matrices | array |
| Inline matrices | smallmatrix |
FAQs
1. Do I always need amsmath for matrices?
Yes, unless you use only the most basic matrix environments. However, for pmatrix, bmatrix, and others, you must load amsmath.
2. How do I add labels or numbering?
Wrap your matrix inside the equation environment:
\begin{equation}
\begin{pmatrix}
1 & 2 \\
3 & 4
\end{pmatrix}
\end{equation}
3. Can I add row/column names?
Yes—use array and manually insert text using \text{} from the amsmath package.
Conclusion
Learning how to write matrices in LaTeX is much easier once you understand the available environments. Whether you’re preparing a research paper, solving linear algebra problems, or building engineering documentation, LaTeX offers clean and flexible tools to display matrices correctly. Furthermore, the more you practice, the more intuitive the syntax becomes.
Visit Deadloq for more guides, tutorials, and developer resources on LaTeX and typesetting.
